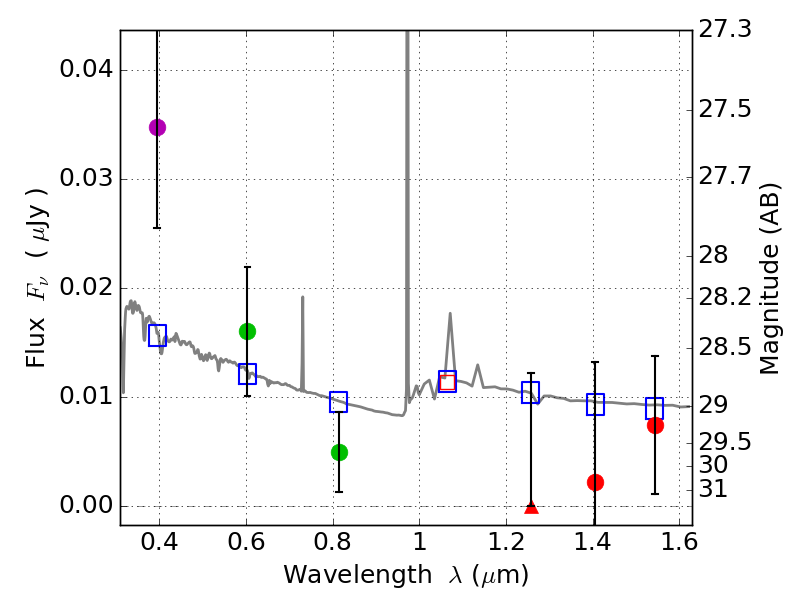
RXS0603+42-S IR detection object #5210

Color images and BPZ results
Catalog: 5210.cat
Black segments are analyzed here.   Roll mouse over color images to view segments.
Best viewed in a wide browser window (1200 pixels or more).   Download SED & P(z) plots to view larger versions.
In P(z) plots: Yellow lines mark the cluster redshift z = 0.228,  

Object #5210   x,y = (2386, 1977)   RA, Dec = (06:03:27.024, 42:09:24.84) = (90.86260, 42.15690)   BPZ = 1.612 [0.359--3.121]   type = 11.00 (SB11_A_0_l)   stellarity = 0.35   chisq2 = 2.43   ODDS = 0.14   z_cluster = 0.228