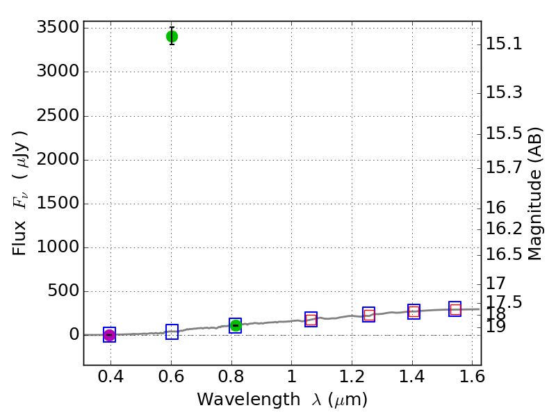
RXS0603+42-S IR detection object #5156

Color images and BPZ results
Catalog: 5156.cat
Black segments are analyzed here.   Roll mouse over color images to view segments.
Best viewed in a wide browser window (1200 pixels or more).   Download SED & P(z) plots to view larger versions.
In P(z) plots: Yellow lines mark the cluster redshift z = 0.228,  

Object #5156   x,y = (1628, 1957)   RA, Dec = (06:03:31.128, 42:09:23.76) = (90.87970, 42.15660)   BPZ = 0.455 [0.425--0.580]   type = 1.60 (Ell6_A_0 - Ell7_A_0)   stellarity = 1.00   chisq2 = 1081.00   ODDS = 0.75   z_cluster = 0.228