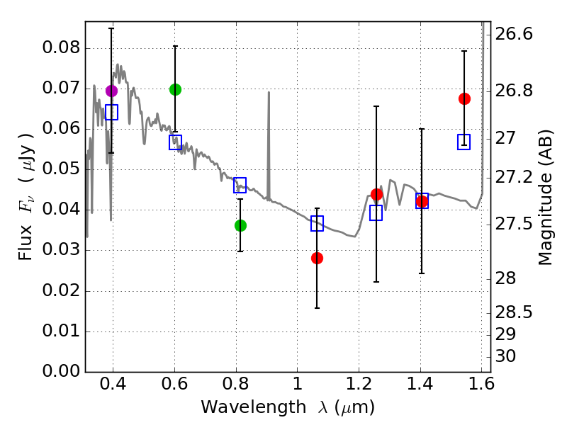
RXS0603+42-S IR detection object #5155

Color images and BPZ results
Catalog: 5155.cat
Black segments are analyzed here.   Roll mouse over color images to view segments.
Best viewed in a wide browser window (1200 pixels or more).   Download SED & P(z) plots to view larger versions.
In P(z) plots: Yellow lines mark the cluster redshift z = 0.228,  

Object #5155   x,y = (2041, 2000)   RA, Dec = (06:03:28.896, 42:09:26.28) = (90.87040, 42.15730)   BPZ = 2.236 [1.310--2.647]   type = 11.00 (SB11_A_0_l)   stellarity = 0.34   chisq2 = 1.08   ODDS = 0.33   z_cluster = 0.228