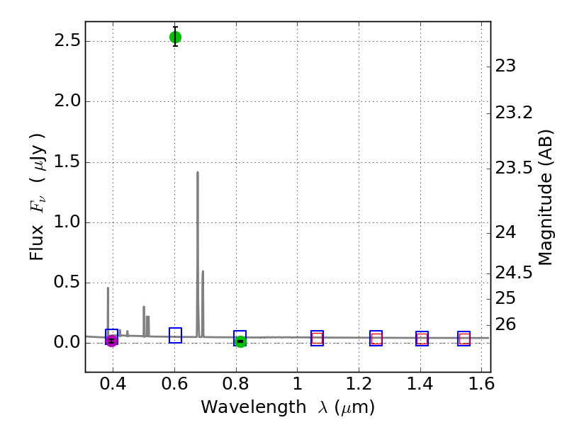
RXS0603+42-S IR detection object #5151

Color images and BPZ results
Catalog: 5151.cat
Black segments are analyzed here.   Roll mouse over color images to view segments.
Best viewed in a wide browser window (1200 pixels or more).   Download SED & P(z) plots to view larger versions.
In P(z) plots: Yellow lines mark the cluster redshift z = 0.228,  

Object #5151   x,y = (1005, 2000)   RA, Dec = (06:03:34.488, 42:09:26.28) = (90.89370, 42.15730)   BPZ = 0.026 [0.017--3.304]   type = 11.00 (SB11_A_0_l)   stellarity = 0.98   chisq2 = 1039.00   ODDS = 0.16   z_cluster = 0.228