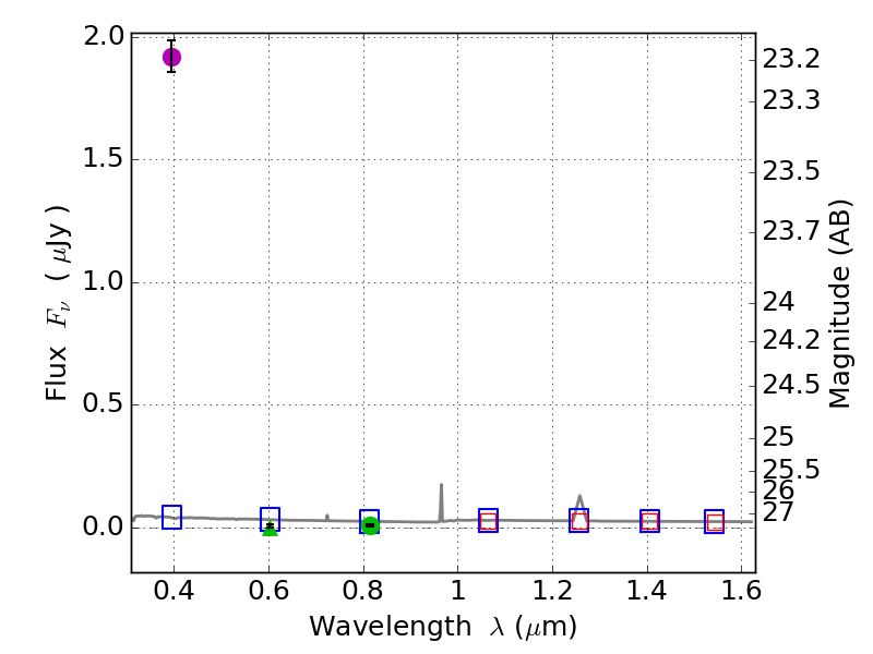
RXS0603+42-S IR detection object #5148

Color images and BPZ results
Catalog: 5148.cat
Black segments are analyzed here.   Roll mouse over color images to view segments.
Best viewed in a wide browser window (1200 pixels or more).   Download SED & P(z) plots to view larger versions.
In P(z) plots: Yellow lines mark the cluster redshift z = 0.228,  

Object #5148   x,y = (3770, 1997)   RA, Dec = (06:03:19.560, 42:09:26.28) = (90.83150, 42.15730)   BPZ = 1.594 [1.010--2.236]   type = 11.00 (SB11_A_0_l)   stellarity = 0.77   chisq2 = 868.10   ODDS = 0.28   z_cluster = 0.228