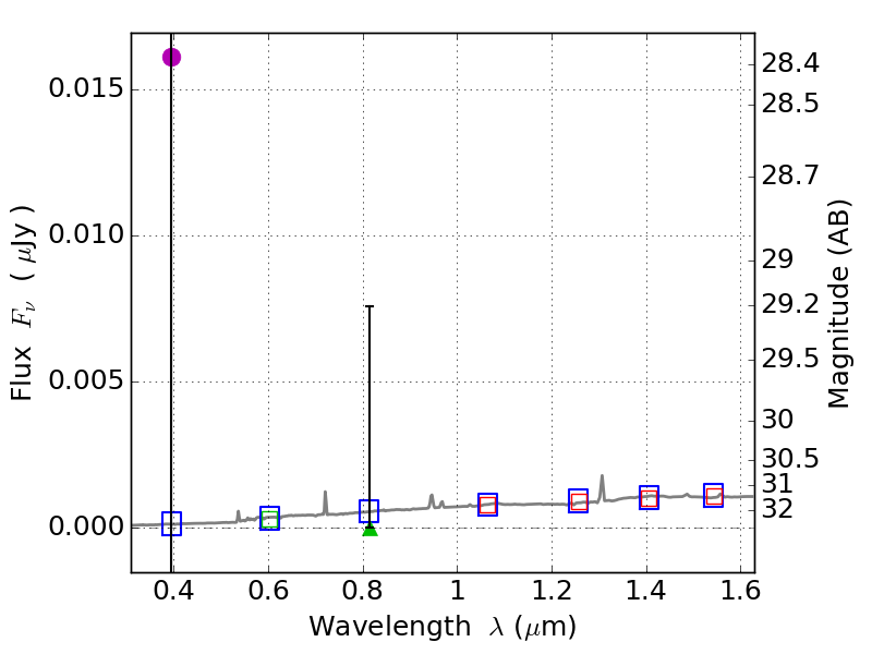
RXS0603+42-S IR detection object #5092

Color images and BPZ results
Catalog: 5092.cat
Black segments are analyzed here.   Roll mouse over color images to view segments.
Best viewed in a wide browser window (1200 pixels or more).   Download SED & P(z) plots to view larger versions.
In P(z) plots: Yellow lines mark the cluster redshift z = 0.228,  

Object #5092   x,y = (1003, 2032)   RA, Dec = (06:03:34.488, 42:09:28.08) = (90.89370, 42.15780)   BPZ = 0.440 [0.050--0.865]   type = 7.00 (Scd_B10)   stellarity = 0.81   chisq2 = 900.00   ODDS = 0.21   z_cluster = 0.228