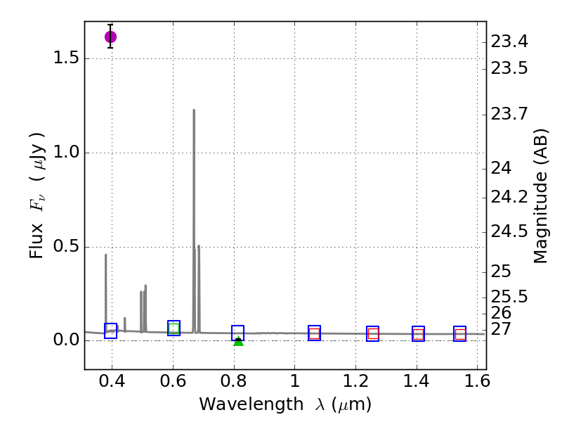
RXS0603+42-S IR detection object #5071

Color images and BPZ results
Catalog: 5071.cat
Black segments are analyzed here.   Roll mouse over color images to view segments.
Best viewed in a wide browser window (1200 pixels or more).   Download SED & P(z) plots to view larger versions.
In P(z) plots: Yellow lines mark the cluster redshift z = 0.228,  

Object #5071   x,y = (855, 2043)   RA, Dec = (06:03:35.304, 42:09:28.80) = (90.89710, 42.15800)   BPZ = 0.022 [0.010--0.409]   type = 11.00 (SB11_A_0_l)   stellarity = 0.72   chisq2 = 676.50   ODDS = 0.94   z_cluster = 0.228