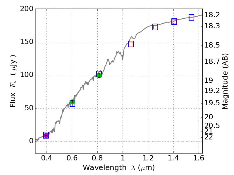
RXS0603+42-S IR detection object #5068

Color images and BPZ results
Catalog: 5068.cat
Black segments are analyzed here.   Roll mouse over color images to view segments.
Best viewed in a wide browser window (1200 pixels or more).   Download SED & P(z) plots to view larger versions.
In P(z) plots: Yellow lines mark the cluster redshift z = 0.228,  

Object #5068   x,y = (1235, 2110)   RA, Dec = (06:03:33.240, 42:09:32.76) = (90.88850, 42.15910)   BPZ = 0.174 [0.093--0.207]   type = 3.40 (Ell5_A_0 - Ell4_A_0)   stellarity = 0.17   chisq2 = 0.08   ODDS = 0.81   z_cluster = 0.228