RXS0603+42-S IR detection object #5041

Color images and BPZ results
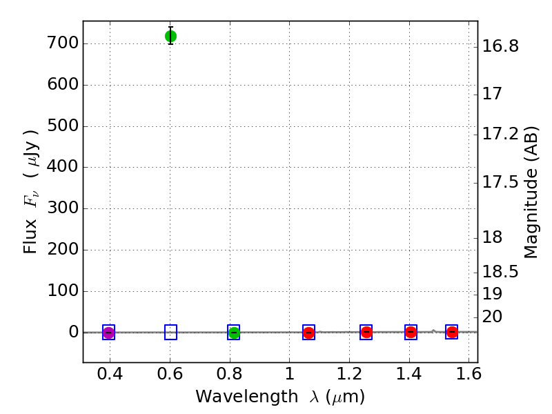
Catalog: 5041.cat
Black segments are analyzed here.   Roll mouse over color images to view segments.
Best viewed in a wide browser window (1200 pixels or more).   Download SED & P(z) plots to view larger versions.
In P(z) plots: Yellow lines mark the cluster redshift z = 0.228,  

Object #5041   x,y = (1651, 2016)   RA, Dec = (06:03:31.008, 42:09:27.36) = (90.87920, 42.15760)   BPZ = 1.963 [1.805--2.034]   type = 8.10 (SB1_B10 - SB2_B10)   stellarity = 1.00   chisq2 = 287.10   ODDS = 0.95   z_cluster = 0.228