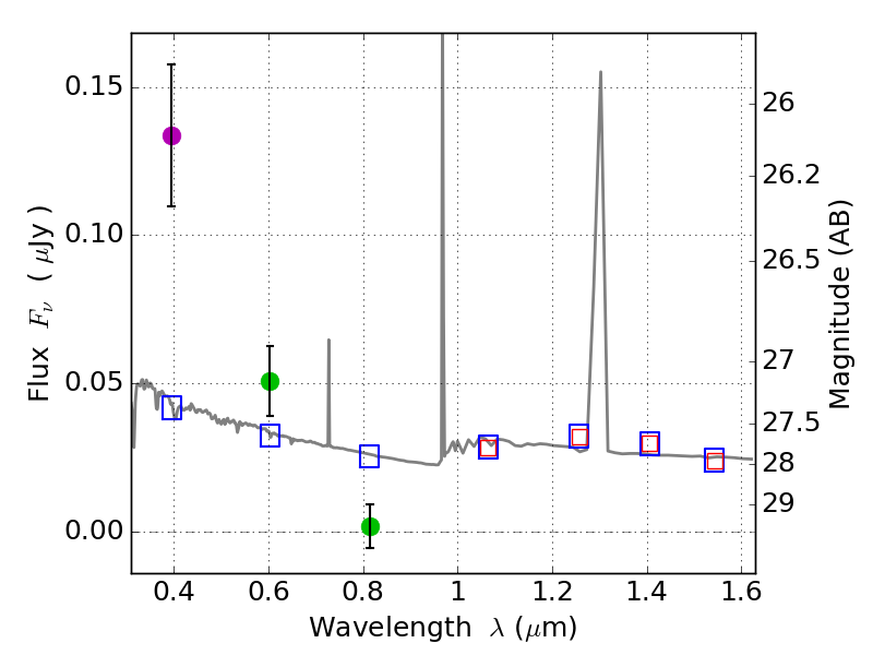
RXS0603+42-S IR detection object #5030

Color images and BPZ results
Catalog: 5030.cat
Black segments are analyzed here.   Roll mouse over color images to view segments.
Best viewed in a wide browser window (1200 pixels or more).   Download SED & P(z) plots to view larger versions.
In P(z) plots: Yellow lines mark the cluster redshift z = 0.228,  

Object #5030   x,y = (3779, 2282)   RA, Dec = (06:03:19.512, 42:09:43.20) = (90.83130, 42.16200)   BPZ = 1.596 [1.105--2.588]   type = 11.00 (SB11_A_0_l)   stellarity = 0.44   chisq2 = 25.49   ODDS = 0.24   z_cluster = 0.228