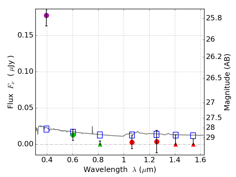
RXS0603+42-S IR detection object #5022

Color images and BPZ results
Catalog: 5022.cat
Black segments are analyzed here.   Roll mouse over color images to view segments.
Best viewed in a wide browser window (1200 pixels or more).   Download SED & P(z) plots to view larger versions.
In P(z) plots: Yellow lines mark the cluster redshift z = 0.228,  

Object #5022   x,y = (2096, 2104)   RA, Dec = (06:03:28.608, 42:09:32.40) = (90.86920, 42.15900)   BPZ = 1.700 [0.950--2.396]   type = 11.00 (SB11_A_0_l)   stellarity = 0.54   chisq2 = 30.11   ODDS = 0.39   z_cluster = 0.228