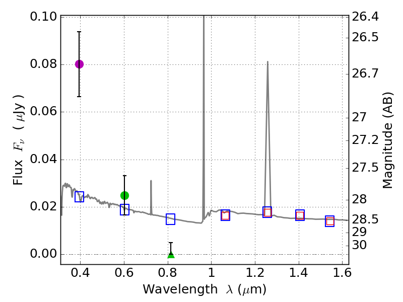
RXS0603+42-S IR detection object #4898

Color images and BPZ results
Catalog: 4898.cat
Black segments are analyzed here.   Roll mouse over color images to view segments.
Best viewed in a wide browser window (1200 pixels or more).   Download SED & P(z) plots to view larger versions.
In P(z) plots: Yellow lines mark the cluster redshift z = 0.228,  

Object #4898   x,y = (1357, 2129)   RA, Dec = (06:03:32.592, 42:09:34.20) = (90.88580, 42.15950)   BPZ = 1.595 [0.824--2.544]   type = 11.00 (SB11_A_0_l)   stellarity = 0.45   chisq2 = 25.15   ODDS = 0.23   z_cluster = 0.228