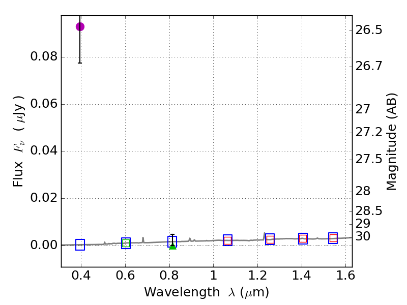
RXS0603+42-S IR detection object #4896

Color images and BPZ results
Catalog: 4896.cat
Black segments are analyzed here.   Roll mouse over color images to view segments.
Best viewed in a wide browser window (1200 pixels or more).   Download SED & P(z) plots to view larger versions.
In P(z) plots: Yellow lines mark the cluster redshift z = 0.228,  

Object #4896   x,y = (919, 2133)   RA, Dec = (06:03:34.944, 42:09:34.20) = (90.89560, 42.15950)   BPZ = 0.362 [0.031--0.857]   type = 7.00 (Scd_B10)   stellarity = 0.61   chisq2 = 35.59   ODDS = 0.18   z_cluster = 0.228