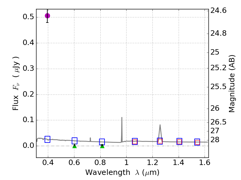
RXS0603+42-S IR detection object #4879

Color images and BPZ results
Catalog: 4879.cat
Black segments are analyzed here.   Roll mouse over color images to view segments.
Best viewed in a wide browser window (1200 pixels or more).   Download SED & P(z) plots to view larger versions.
In P(z) plots: Yellow lines mark the cluster redshift z = 0.228,  

Object #4879   x,y = (3838, 2135)   RA, Dec = (06:03:19.200, 42:09:34.56) = (90.83000, 42.15960)   BPZ = 1.595 [0.992--2.444]   type = 11.00 (SB11_A_0_l)   stellarity = 0.83   chisq2 = 318.50   ODDS = 0.27   z_cluster = 0.228