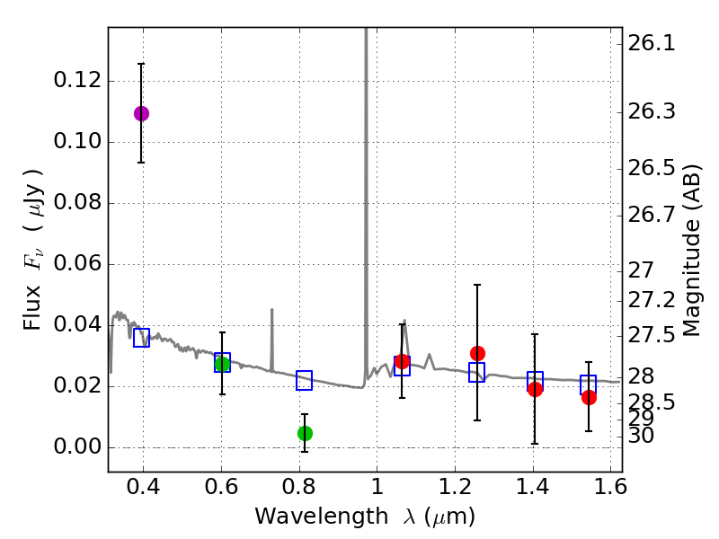
RXS0603+42-S IR detection object #4852

Color images and BPZ results
Catalog: 4852.cat
Black segments are analyzed here.   Roll mouse over color images to view segments.
Best viewed in a wide browser window (1200 pixels or more).   Download SED & P(z) plots to view larger versions.
In P(z) plots: Yellow lines mark the cluster redshift z = 0.228,  

Object #4852   x,y = (1686, 2152)   RA, Dec = (06:03:30.816, 42:09:35.28) = (90.87840, 42.15980)   BPZ = 1.613 [1.053--2.351]   type = 11.00 (SB11_A_0_l)   stellarity = 0.35   chisq2 = 6.74   ODDS = 0.33   z_cluster = 0.228