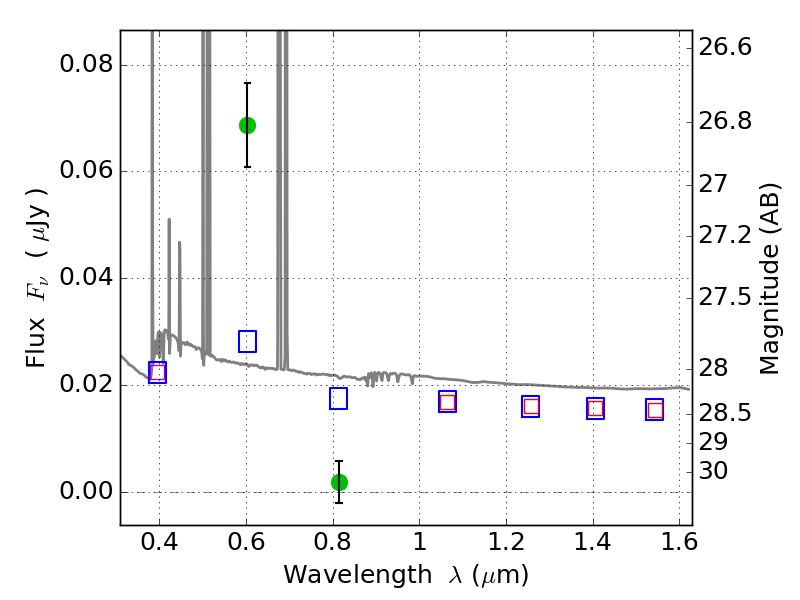
RXS0603+42-S IR detection object #4837

Color images and BPZ results
Catalog: 4837.cat
Black segments are analyzed here.   Roll mouse over color images to view segments.
Best viewed in a wide browser window (1200 pixels or more).   Download SED & P(z) plots to view larger versions.
In P(z) plots: Yellow lines mark the cluster redshift z = 0.228,  

Object #4837   x,y = (3975, 2158)   RA, Dec = (06:03:18.456, 42:09:35.64) = (90.82690, 42.15990)   BPZ = 0.027 [0.027--3.217]   type = 11.00 (SB11_A_0_l)   stellarity = 0.75   chisq2 = 38.18   ODDS = 0.06   z_cluster = 0.228