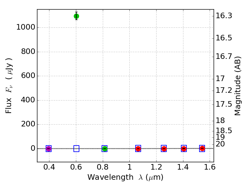
RXS0603+42-S IR detection object #4799

Color images and BPZ results
Catalog: 4799.cat
Black segments are analyzed here.   Roll mouse over color images to view segments.
Best viewed in a wide browser window (1200 pixels or more).   Download SED & P(z) plots to view larger versions.
In P(z) plots: Yellow lines mark the cluster redshift z = 0.228,  

Object #4799   x,y = (1674, 2073)   RA, Dec = (06:03:30.888, 42:09:30.60) = (90.87870, 42.15850)   BPZ = 2.130 [1.661--2.230]   type = 4.00 (Ell4_A_0)   stellarity = 1.00   chisq2 = 288.10   ODDS = 0.66   z_cluster = 0.228