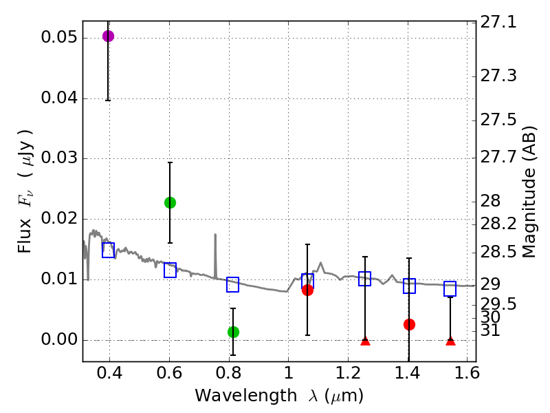
RXS0603+42-S IR detection object #4798

Color images and BPZ results
Catalog: 4798.cat
Black segments are analyzed here.   Roll mouse over color images to view segments.
Best viewed in a wide browser window (1200 pixels or more).   Download SED & P(z) plots to view larger versions.
In P(z) plots: Yellow lines mark the cluster redshift z = 0.228,  

Object #4798   x,y = (2218, 2180)   RA, Dec = (06:03:27.936, 42:09:37.08) = (90.86640, 42.16030)   BPZ = 1.703 [0.385--3.264]   type = 11.00 (SB11_A_0_l)   stellarity = 0.35   chisq2 = 4.91   ODDS = 0.21   z_cluster = 0.228