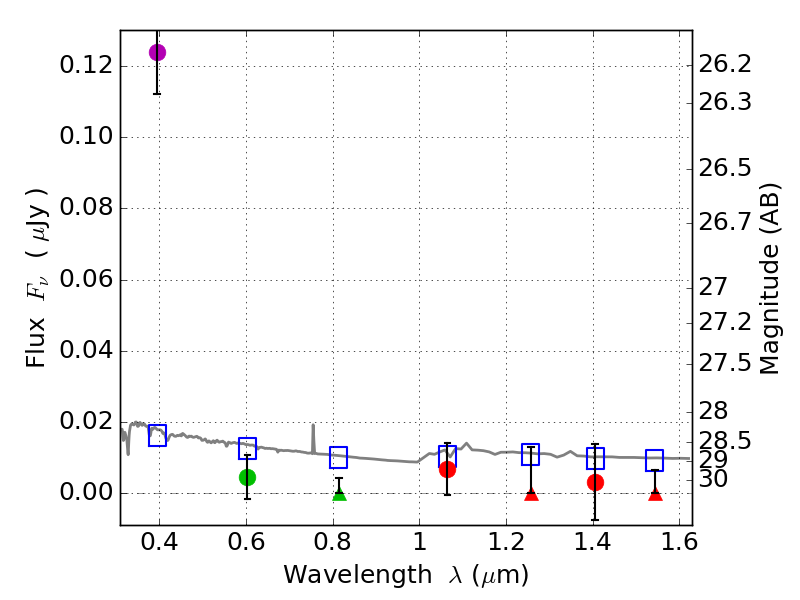
RXS0603+42-S IR detection object #4792

Color images and BPZ results
Catalog: 4792.cat
Black segments are analyzed here.   Roll mouse over color images to view segments.
Best viewed in a wide browser window (1200 pixels or more).   Download SED & P(z) plots to view larger versions.
In P(z) plots: Yellow lines mark the cluster redshift z = 0.228,  

Object #4792   x,y = (2591, 2181)   RA, Dec = (06:03:25.920, 42:09:37.08) = (90.85800, 42.16030)   BPZ = 1.702 [0.692--2.520]   type = 11.00 (SB11_A_0_l)   stellarity = 0.49   chisq2 = 22.54   ODDS = 0.32   z_cluster = 0.228