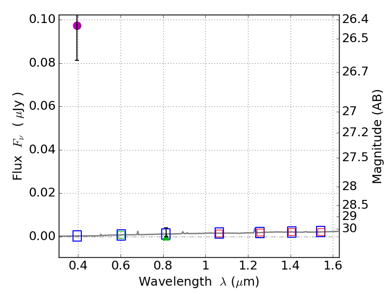
RXS0603+42-S IR detection object #4780

Color images and BPZ results
Catalog: 4780.cat
Black segments are analyzed here.   Roll mouse over color images to view segments.
Best viewed in a wide browser window (1200 pixels or more).   Download SED & P(z) plots to view larger versions.
In P(z) plots: Yellow lines mark the cluster redshift z = 0.228,  

Object #4780   x,y = (925, 2186)   RA, Dec = (06:03:34.920, 42:09:37.44) = (90.89550, 42.16040)   BPZ = 0.363 [0.036--0.860]   type = 7.00 (Scd_B10)   stellarity = 0.60   chisq2 = 36.16   ODDS = 0.19   z_cluster = 0.228