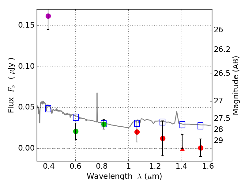
RXS0603+42-S IR detection object #4726

Color images and BPZ results
Catalog: 4726.cat
Black segments are analyzed here.   Roll mouse over color images to view segments.
Best viewed in a wide browser window (1200 pixels or more).   Download SED & P(z) plots to view larger versions.
In P(z) plots: Yellow lines mark the cluster redshift z = 0.228,  

Object #4726   x,y = (3367, 2224)   RA, Dec = (06:03:21.744, 42:09:39.60) = (90.84060, 42.16100)   BPZ = 1.733 [0.781--2.247]   type = 11.00 (SB11_A_0_l)   stellarity = 0.36   chisq2 = 14.07   ODDS = 0.45   z_cluster = 0.228