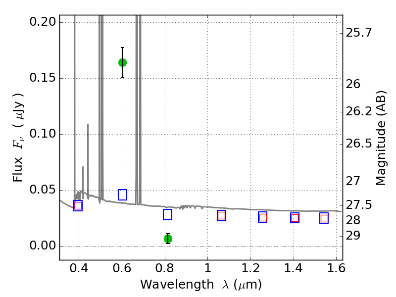
RXS0603+42-S IR detection object #4691

Color images and BPZ results
Catalog: 4691.cat
Black segments are analyzed here.   Roll mouse over color images to view segments.
Best viewed in a wide browser window (1200 pixels or more).   Download SED & P(z) plots to view larger versions.
In P(z) plots: Yellow lines mark the cluster redshift z = 0.228,  

Object #4691   x,y = (4030, 2238)   RA, Dec = (06:03:18.168, 42:09:40.68) = (90.82570, 42.16130)   BPZ = 0.023 [0.011--2.904]   type = 11.00 (SB11_A_0_l)   stellarity = 0.96   chisq2 = 93.06   ODDS = 0.49   z_cluster = 0.228