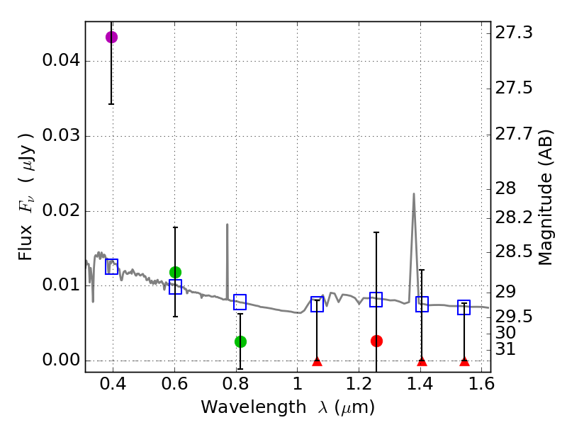
RXS0603+42-S IR detection object #4690

Color images and BPZ results
Catalog: 4690.cat
Black segments are analyzed here.   Roll mouse over color images to view segments.
Best viewed in a wide browser window (1200 pixels or more).   Download SED & P(z) plots to view larger versions.
In P(z) plots: Yellow lines mark the cluster redshift z = 0.228,  

Object #4690   x,y = (3366, 2240)   RA, Dec = (06:03:21.744, 42:09:40.68) = (90.84060, 42.16130)   BPZ = 1.763 [0.356--4.029]   type = 11.00 (SB11_A_0_l)   stellarity = 0.36   chisq2 = 3.94   ODDS = 0.17   z_cluster = 0.228