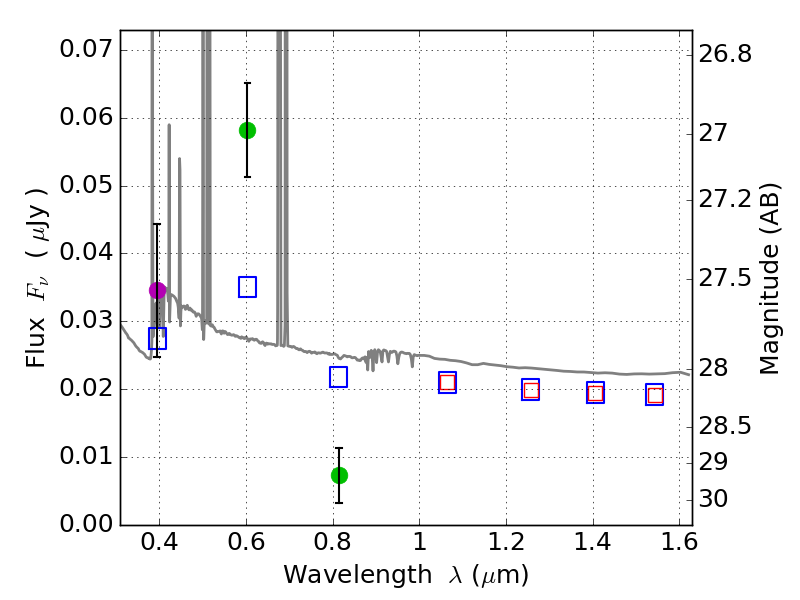
RXS0603+42-S IR detection object #4672

Color images and BPZ results
Catalog: 4672.cat
Black segments are analyzed here.   Roll mouse over color images to view segments.
Best viewed in a wide browser window (1200 pixels or more).   Download SED & P(z) plots to view larger versions.
In P(z) plots: Yellow lines mark the cluster redshift z = 0.228,  

Object #4672   x,y = (1458, 2251)   RA, Dec = (06:03:32.040, 42:09:41.40) = (90.88350, 42.16150)   BPZ = 0.026 [0.022--2.730]   type = 11.00 (SB11_A_0_l)   stellarity = 0.36   chisq2 = 20.14   ODDS = 0.08   z_cluster = 0.228