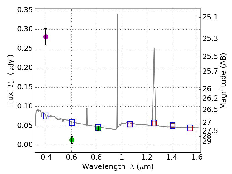
RXS0603+42-S IR detection object #4668

Color images and BPZ results
Catalog: 4668.cat
Black segments are analyzed here.   Roll mouse over color images to view segments.
Best viewed in a wide browser window (1200 pixels or more).   Download SED & P(z) plots to view larger versions.
In P(z) plots: Yellow lines mark the cluster redshift z = 0.228,  

Object #4668   x,y = (3733, 2261)   RA, Dec = (06:03:19.752, 42:09:42.12) = (90.83230, 42.16170)   BPZ = 1.587 [0.974--1.992]   type = 11.00 (SB11_A_0_l)   stellarity = 0.73   chisq2 = 105.80   ODDS = 0.27   z_cluster = 0.228