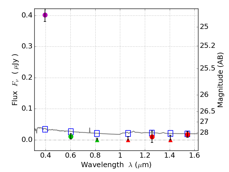
RXS0603+42-S IR detection object #4663

Color images and BPZ results
Catalog: 4663.cat
Black segments are analyzed here.   Roll mouse over color images to view segments.
Best viewed in a wide browser window (1200 pixels or more).   Download SED & P(z) plots to view larger versions.
In P(z) plots: Yellow lines mark the cluster redshift z = 0.228,  

Object #4663   x,y = (2876, 2529)   RA, Dec = (06:03:24.384, 42:09:57.96) = (90.85160, 42.16610)   BPZ = 1.700 [1.374--2.206]   type = 11.00 (SB11_A_0_l)   stellarity = 0.71   chisq2 = 78.76   ODDS = 0.43   z_cluster = 0.228