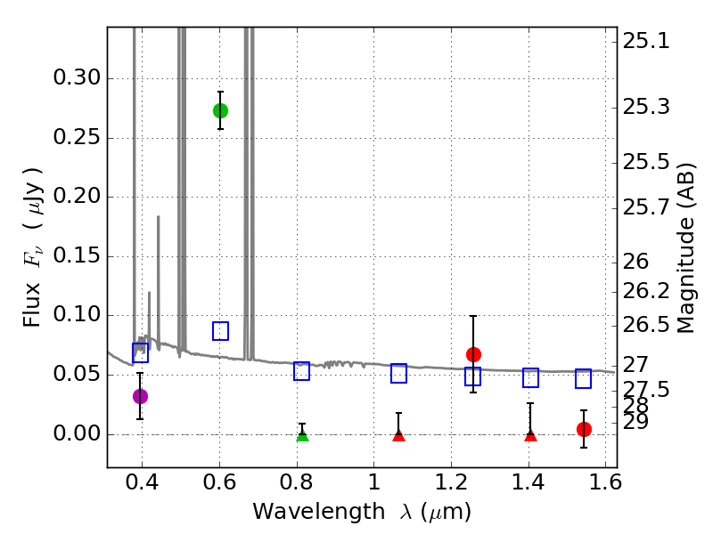
RXS0603+42-S IR detection object #4639

Color images and BPZ results
Catalog: 4639.cat
Black segments are analyzed here.   Roll mouse over color images to view segments.
Best viewed in a wide browser window (1200 pixels or more).   Download SED & P(z) plots to view larger versions.
In P(z) plots: Yellow lines mark the cluster redshift z = 0.228,  

Object #4639   x,y = (3538, 2265)   RA, Dec = (06:03:20.808, 42:09:42.12) = (90.83670, 42.16170)   BPZ = 0.020 [0.010--0.047]   type = 11.00 (SB11_A_0_l)   stellarity = 0.43   chisq2 = 42.79   ODDS = 1.00   z_cluster = 0.228