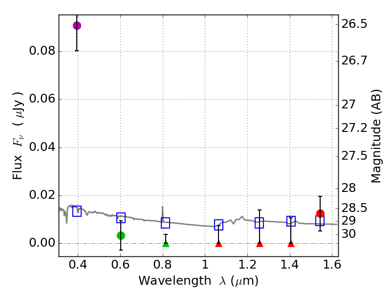
RXS0603+42-S IR detection object #4636

Color images and BPZ results
Catalog: 4636.cat
Black segments are analyzed here.   Roll mouse over color images to view segments.
Best viewed in a wide browser window (1200 pixels or more).   Download SED & P(z) plots to view larger versions.
In P(z) plots: Yellow lines mark the cluster redshift z = 0.228,  

Object #4636   x,y = (3352, 2268)   RA, Dec = (06:03:21.816, 42:09:42.48) = (90.84090, 42.16180)   BPZ = 1.856 [0.676--2.973]   type = 11.00 (SB11_A_0_l)   stellarity = 0.42   chisq2 = 15.25   ODDS = 0.21   z_cluster = 0.228