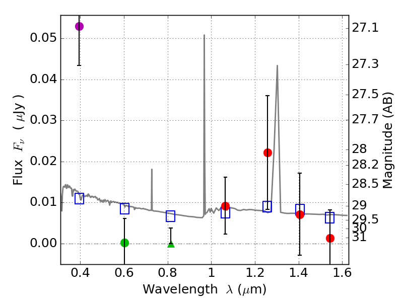
RXS0603+42-S IR detection object #4608

Color images and BPZ results
Catalog: 4608.cat
Black segments are analyzed here.   Roll mouse over color images to view segments.
Best viewed in a wide browser window (1200 pixels or more).   Download SED & P(z) plots to view larger versions.
In P(z) plots: Yellow lines mark the cluster redshift z = 0.228,  

Object #4608   x,y = (2648, 2280)   RA, Dec = (06:03:25.632, 42:09:43.20) = (90.85680, 42.16200)   BPZ = 1.599 [0.447--7.035]   type = 11.00 (SB11_A_0_l)   stellarity = 0.47   chisq2 = 6.32   ODDS = 0.13   z_cluster = 0.228