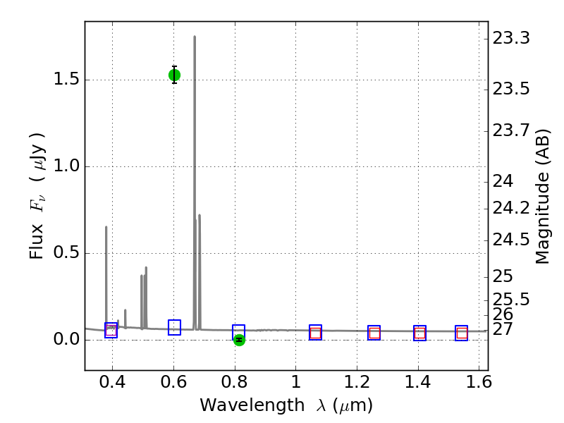
RXS0603+42-S IR detection object #4607

Color images and BPZ results
Catalog: 4607.cat
Black segments are analyzed here.   Roll mouse over color images to view segments.
Best viewed in a wide browser window (1200 pixels or more).   Download SED & P(z) plots to view larger versions.
In P(z) plots: Yellow lines mark the cluster redshift z = 0.228,  

Object #4607   x,y = (4046, 2279)   RA, Dec = (06:03:18.072, 42:09:43.20) = (90.82530, 42.16200)   BPZ = 0.021 [0.010--2.658]   type = 11.00 (SB11_A_0_l)   stellarity = 1.00   chisq2 = 929.20   ODDS = 0.83   z_cluster = 0.228