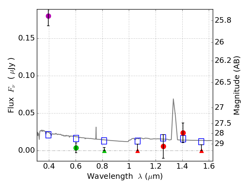
RXS0603+42-S IR detection object #4560

Color images and BPZ results
Catalog: 4560.cat
Black segments are analyzed here.   Roll mouse over color images to view segments.
Best viewed in a wide browser window (1200 pixels or more).   Download SED & P(z) plots to view larger versions.
In P(z) plots: Yellow lines mark the cluster redshift z = 0.228,  

Object #4560   x,y = (3535, 2317)   RA, Dec = (06:03:20.832, 42:09:45.36) = (90.83680, 42.16260)   BPZ = 1.695 [1.070--2.266]   type = 11.00 (SB11_A_0_l)   stellarity = 0.64   chisq2 = 39.11   ODDS = 0.44   z_cluster = 0.228