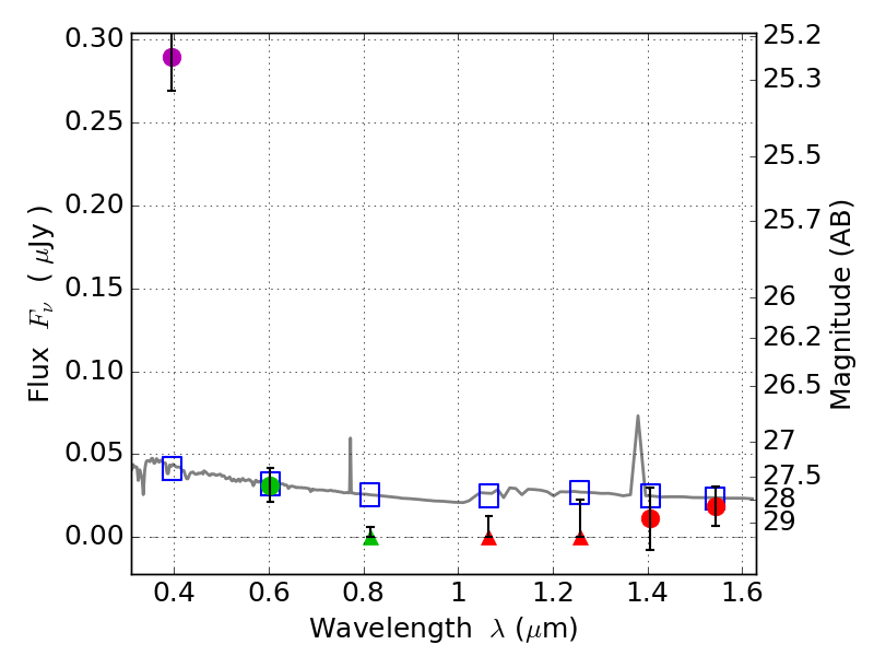
RXS0603+42-S IR detection object #4552

Color images and BPZ results
Catalog: 4552.cat
Black segments are analyzed here.   Roll mouse over color images to view segments.
Best viewed in a wide browser window (1200 pixels or more).   Download SED & P(z) plots to view larger versions.
In P(z) plots: Yellow lines mark the cluster redshift z = 0.228,  

Object #4552   x,y = (3543, 2321)   RA, Dec = (06:03:20.784, 42:09:45.72) = (90.83660, 42.16270)   BPZ = 1.763 [1.403--2.222]   type = 11.00 (SB11_A_0_l)   stellarity = 0.63   chisq2 = 40.41   ODDS = 0.43   z_cluster = 0.228