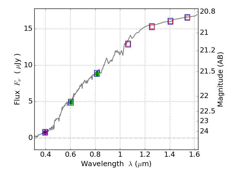
RXS0603+42-S IR detection object #4536

Color images and BPZ results
Catalog: 4536.cat
Black segments are analyzed here.   Roll mouse over color images to view segments.
Best viewed in a wide browser window (1200 pixels or more).   Download SED & P(z) plots to view larger versions.
In P(z) plots: Yellow lines mark the cluster redshift z = 0.228,  

Object #4536   x,y = (1245, 2515)   RA, Dec = (06:03:33.192, 42:09:57.24) = (90.88830, 42.16590)   BPZ = 0.180 [0.102--0.235]   type = 3.20 (Ell5_A_0 - Ell4_A_0)   stellarity = 0.03   chisq2 = 0.00   ODDS = 0.83   z_cluster = 0.228