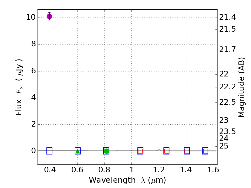
RXS0603+42-S IR detection object #4526

Color images and BPZ results
Catalog: 4526.cat
Black segments are analyzed here.   Roll mouse over color images to view segments.
Best viewed in a wide browser window (1200 pixels or more).   Download SED & P(z) plots to view larger versions.
In P(z) plots: Yellow lines mark the cluster redshift z = 0.228,  

Object #4526   x,y = (3918, 2330)   RA, Dec = (06:03:18.768, 42:09:46.08) = (90.82820, 42.16280)   BPZ = 1.404 [0.313--7.427]   type = 11.00 (SB11_A_0_l)   stellarity = 0.98   chisq2 = 1146.00   ODDS = 0.07   z_cluster = 0.228