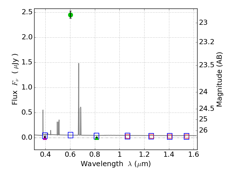
RXS0603+42-S IR detection object #4519

Color images and BPZ results
Catalog: 4519.cat
Black segments are analyzed here.   Roll mouse over color images to view segments.
Best viewed in a wide browser window (1200 pixels or more).   Download SED & P(z) plots to view larger versions.
In P(z) plots: Yellow lines mark the cluster redshift z = 0.228,  

Object #4519   x,y = (3940, 2334)   RA, Dec = (06:03:18.648, 42:09:46.44) = (90.82770, 42.16290)   BPZ = 0.025 [0.012--2.864]   type = 11.00 (SB11_A_0_l)   stellarity = 0.97   chisq2 = 1118.00   ODDS = 0.44   z_cluster = 0.228