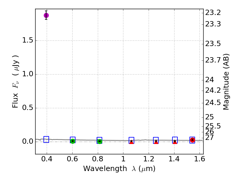
RXS0603+42-S IR detection object #4513

Color images and BPZ results
Catalog: 4513.cat
Black segments are analyzed here.   Roll mouse over color images to view segments.
Best viewed in a wide browser window (1200 pixels or more).   Download SED & P(z) plots to view larger versions.
In P(z) plots: Yellow lines mark the cluster redshift z = 0.228,  

Object #4513   x,y = (3563, 2337)   RA, Dec = (06:03:20.688, 42:09:46.44) = (90.83620, 42.16290)   BPZ = 1.856 [1.144--2.350]   type = 11.00 (SB11_A_0_l)   stellarity = 0.99   chisq2 = 222.30   ODDS = 0.30   z_cluster = 0.228