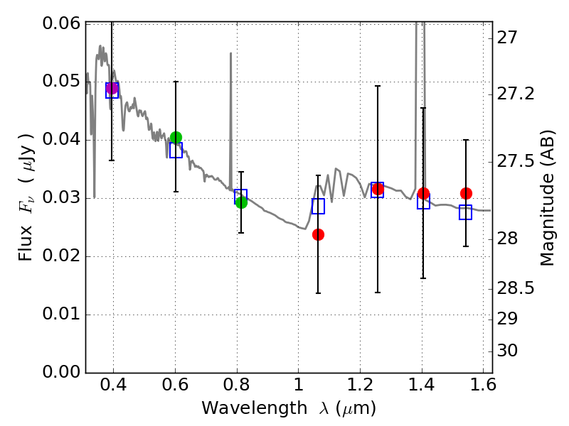
RXS0603+42-S IR detection object #4502

Color images and BPZ results
Catalog: 4502.cat
Black segments are analyzed here.   Roll mouse over color images to view segments.
Best viewed in a wide browser window (1200 pixels or more).   Download SED & P(z) plots to view larger versions.
In P(z) plots: Yellow lines mark the cluster redshift z = 0.228,  

Object #4502   x,y = (1901, 2344)   RA, Dec = (06:03:29.640, 42:09:46.80) = (90.87350, 42.16300)   BPZ = 1.794 [0.569--2.762]   type = 11.00 (SB11_A_0_l)   stellarity = 0.36   chisq2 = 0.10   ODDS = 0.18   z_cluster = 0.228