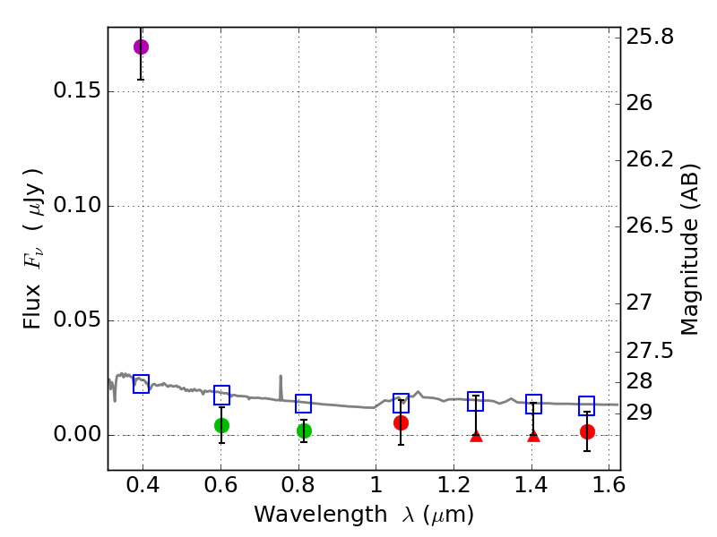
RXS0603+42-S IR detection object #4497

Color images and BPZ results
Catalog: 4497.cat
Black segments are analyzed here.   Roll mouse over color images to view segments.
Best viewed in a wide browser window (1200 pixels or more).   Download SED & P(z) plots to view larger versions.
In P(z) plots: Yellow lines mark the cluster redshift z = 0.228,  

Object #4497   x,y = (1696, 2344)   RA, Dec = (06:03:30.744, 42:09:47.16) = (90.87810, 42.16310)   BPZ = 1.701 [0.903--2.398]   type = 11.00 (SB11_A_0_l)   stellarity = 0.64   chisq2 = 27.95   ODDS = 0.36   z_cluster = 0.228