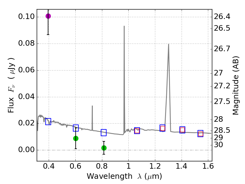
RXS0603+42-S IR detection object #4453

Color images and BPZ results
Catalog: 4453.cat
Black segments are analyzed here.   Roll mouse over color images to view segments.
Best viewed in a wide browser window (1200 pixels or more).   Download SED & P(z) plots to view larger versions.
In P(z) plots: Yellow lines mark the cluster redshift z = 0.228,  

Object #4453   x,y = (1471, 2476)   RA, Dec = (06:03:31.968, 42:09:54.72) = (90.88320, 42.16520)   BPZ = 1.596 [0.721--2.717]   type = 11.00 (SB11_A_0_l)   stellarity = 0.43   chisq2 = 37.61   ODDS = 0.21   z_cluster = 0.228