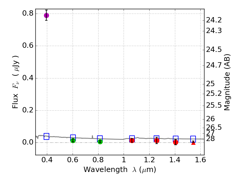
RXS0603+42-S IR detection object #4423

Color images and BPZ results
Catalog: 4423.cat
Black segments are analyzed here.   Roll mouse over color images to view segments.
Best viewed in a wide browser window (1200 pixels or more).   Download SED & P(z) plots to view larger versions.
In P(z) plots: Yellow lines mark the cluster redshift z = 0.228,  

Object #4423   x,y = (3462, 2382)   RA, Dec = (06:03:21.216, 42:09:49.32) = (90.83840, 42.16370)   BPZ = 1.701 [1.326--2.141]   type = 11.00 (SB11_A_0_l)   stellarity = 0.96   chisq2 = 139.30   ODDS = 0.57   z_cluster = 0.228