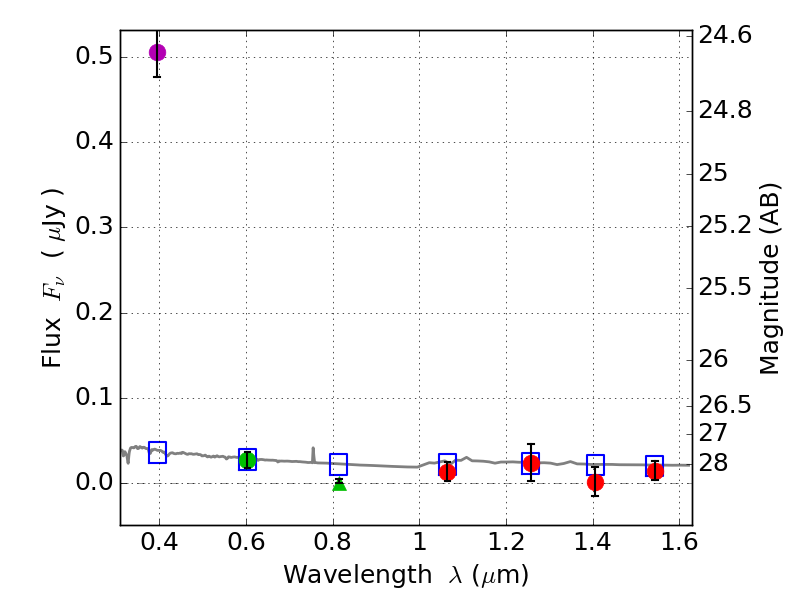
RXS0603+42-S IR detection object #4402

Color images and BPZ results
Catalog: 4402.cat
Black segments are analyzed here.   Roll mouse over color images to view segments.
Best viewed in a wide browser window (1200 pixels or more).   Download SED & P(z) plots to view larger versions.
In P(z) plots: Yellow lines mark the cluster redshift z = 0.228,  

Object #4402   x,y = (3483, 2386)   RA, Dec = (06:03:21.120, 42:09:49.68) = (90.83800, 42.16380)   BPZ = 1.701 [1.298--2.223]   type = 11.00 (SB11_A_0_l)   stellarity = 0.65   chisq2 = 66.15   ODDS = 0.46   z_cluster = 0.228