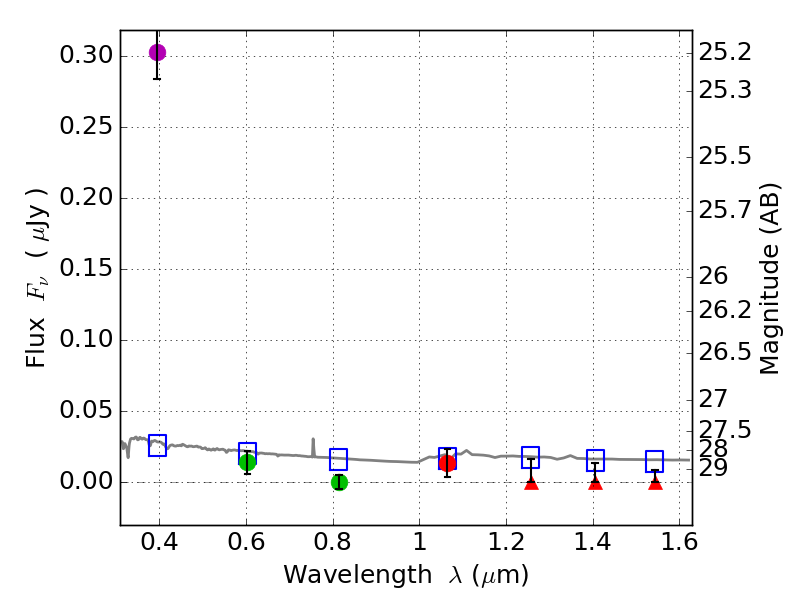
RXS0603+42-S IR detection object #4388

Color images and BPZ results
Catalog: 4388.cat
Black segments are analyzed here.   Roll mouse over color images to view segments.
Best viewed in a wide browser window (1200 pixels or more).   Download SED & P(z) plots to view larger versions.
In P(z) plots: Yellow lines mark the cluster redshift z = 0.228,  

Object #4388   x,y = (3522, 2396)   RA, Dec = (06:03:20.904, 42:09:50.04) = (90.83710, 42.16390)   BPZ = 1.703 [1.159--2.270]   type = 11.00 (SB11_A_0_l)   stellarity = 0.69   chisq2 = 53.53   ODDS = 0.47   z_cluster = 0.228