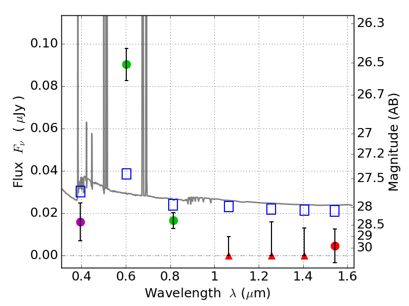
RXS0603+42-S IR detection object #4378

Color images and BPZ results
Catalog: 4378.cat
Black segments are analyzed here.   Roll mouse over color images to view segments.
Best viewed in a wide browser window (1200 pixels or more).   Download SED & P(z) plots to view larger versions.
In P(z) plots: Yellow lines mark the cluster redshift z = 0.228,  

Object #4378   x,y = (3651, 2531)   RA, Dec = (06:03:20.208, 42:09:58.32) = (90.83420, 42.16620)   BPZ = 0.026 [0.011--2.978]   type = 11.00 (SB11_A_0_l)   stellarity = 0.42   chisq2 = 15.43   ODDS = 0.88   z_cluster = 0.228