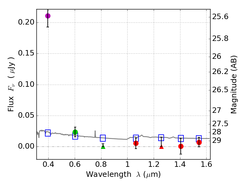
RXS0603+42-S IR detection object #4376

Color images and BPZ results
Catalog: 4376.cat
Black segments are analyzed here.   Roll mouse over color images to view segments.
Best viewed in a wide browser window (1200 pixels or more).   Download SED & P(z) plots to view larger versions.
In P(z) plots: Yellow lines mark the cluster redshift z = 0.228,  

Object #4376   x,y = (3471, 2401)   RA, Dec = (06:03:21.168, 42:09:50.40) = (90.83820, 42.16400)   BPZ = 1.701 [0.989--2.463]   type = 11.00 (SB11_A_0_l)   stellarity = 0.70   chisq2 = 29.38   ODDS = 0.33   z_cluster = 0.228