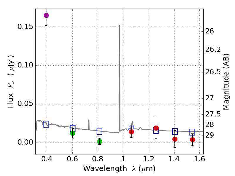
RXS0603+42-S IR detection object #4356

Color images and BPZ results
Catalog: 4356.cat
Black segments are analyzed here.   Roll mouse over color images to view segments.
Best viewed in a wide browser window (1200 pixels or more).   Download SED & P(z) plots to view larger versions.
In P(z) plots: Yellow lines mark the cluster redshift z = 0.228,  

Object #4356   x,y = (3318, 2409)   RA, Dec = (06:03:22.008, 42:09:50.76) = (90.84170, 42.16410)   BPZ = 1.612 [1.212--2.201]   type = 11.00 (SB11_A_0_l)   stellarity = 0.72   chisq2 = 30.67   ODDS = 0.40   z_cluster = 0.228