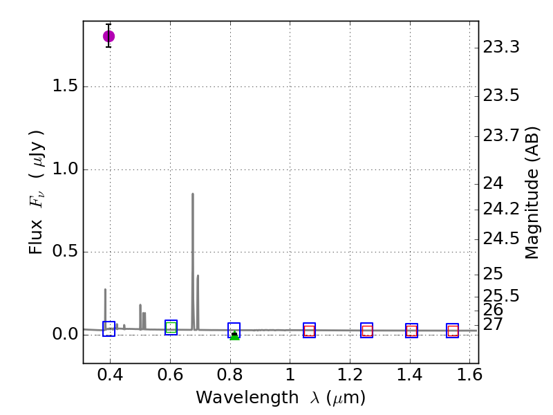
RXS0603+42-S IR detection object #4349

Color images and BPZ results
Catalog: 4349.cat
Black segments are analyzed here.   Roll mouse over color images to view segments.
Best viewed in a wide browser window (1200 pixels or more).   Download SED & P(z) plots to view larger versions.
In P(z) plots: Yellow lines mark the cluster redshift z = 0.228,  

Object #4349   x,y = (990, 2406)   RA, Dec = (06:03:34.560, 42:09:50.76) = (90.89400, 42.16410)   BPZ = 0.026 [0.012--0.780]   type = 11.00 (SB11_A_0_l)   stellarity = 0.87   chisq2 = 641.60   ODDS = 0.45   z_cluster = 0.228