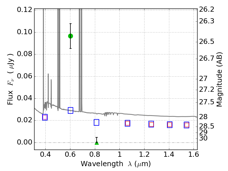
RXS0603+42-S IR detection object #4305

Color images and BPZ results
Catalog: 4305.cat
Black segments are analyzed here.   Roll mouse over color images to view segments.
Best viewed in a wide browser window (1200 pixels or more).   Download SED & P(z) plots to view larger versions.
In P(z) plots: Yellow lines mark the cluster redshift z = 0.228,  

Object #4305   x,y = (4135, 2558)   RA, Dec = (06:03:17.592, 42:09:59.76) = (90.82330, 42.16660)   BPZ = 0.028 [0.031--3.264]   type = 11.00 (SB11_A_0_l)   stellarity = 0.87   chisq2 = 48.08   ODDS = 0.05   z_cluster = 0.228