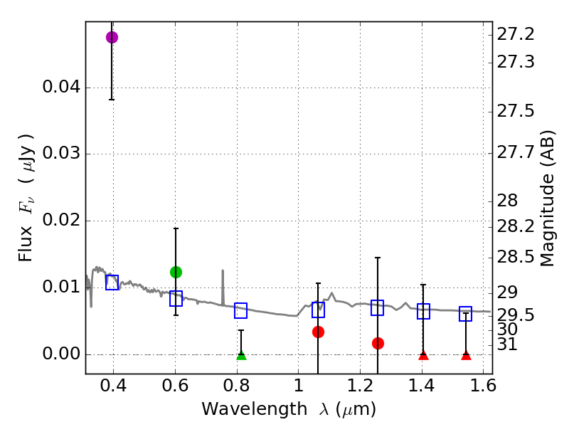
RXS0603+42-S IR detection object #4292

Color images and BPZ results
Catalog: 4292.cat
Black segments are analyzed here.   Roll mouse over color images to view segments.
Best viewed in a wide browser window (1200 pixels or more).   Download SED & P(z) plots to view larger versions.
In P(z) plots: Yellow lines mark the cluster redshift z = 0.228,  

Object #4292   x,y = (1821, 2432)   RA, Dec = (06:03:30.072, 42:09:52.20) = (90.87530, 42.16450)   BPZ = 1.701 [0.304--4.980]   type = 11.00 (SB11_A_0_l)   stellarity = 0.36   chisq2 = 5.08   ODDS = 0.15   z_cluster = 0.228