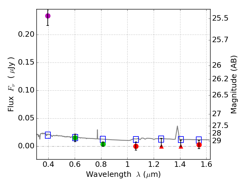
RXS0603+42-S IR detection object #4270

Color images and BPZ results
Catalog: 4270.cat
Black segments are analyzed here.   Roll mouse over color images to view segments.
Best viewed in a wide browser window (1200 pixels or more).   Download SED & P(z) plots to view larger versions.
In P(z) plots: Yellow lines mark the cluster redshift z = 0.228,  

Object #4270   x,y = (3220, 2444)   RA, Dec = (06:03:22.536, 42:09:52.92) = (90.84390, 42.16470)   BPZ = 1.763 [0.972--2.466]   type = 11.00 (SB11_A_0_l)   stellarity = 0.76   chisq2 = 38.86   ODDS = 0.33   z_cluster = 0.228