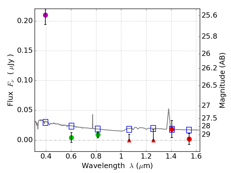
RXS0603+42-S IR detection object #4262

Color images and BPZ results
Catalog: 4262.cat
Black segments are analyzed here.   Roll mouse over color images to view segments.
Best viewed in a wide browser window (1200 pixels or more).   Download SED & P(z) plots to view larger versions.
In P(z) plots: Yellow lines mark the cluster redshift z = 0.228,  

Object #4262   x,y = (2347, 2460)   RA, Dec = (06:03:27.240, 42:09:54.00) = (90.86350, 42.16500)   BPZ = 1.763 [1.043--2.271]   type = 11.00 (SB11_A_0_l)   stellarity = 0.64   chisq2 = 34.60   ODDS = 0.42   z_cluster = 0.228